Linear Algebra - part 1.1 - Vector

June 25, 2023 - 우원

Linear Algebra

part 1.1 - Vector

힘, 속도, 가속도 등 많은 물리적 개념은 크기 뿐 아니라 방향 정보를 가지고 있다. 이처럼 크기와 방향을 모두 가지는 물리량을 벡터라고 한다.

벡터가 가지는 기하학적 의미를 충분히 음미하고 이해하자.

방향의 성질을 유추할 만한 사례가 있다. 연어가 먼 바다로 나갔다가 돌아오는 것을 생각해보자. 연어는 시속 4마일의 속도로 강물을 거슬러 올라 간다고 가정하자. 강물은 시속 3마일의 속도로 흐르고 있다. 이 때 연어는 강물을 거슬러 수영하므로 속도는 시속 7마일이 될 수 없다. 하지만 연어가 다시 방향을 바꿔 강물이 흐르는 방향으로 수영한다면, 연어의 속도는 7마일이 된다.

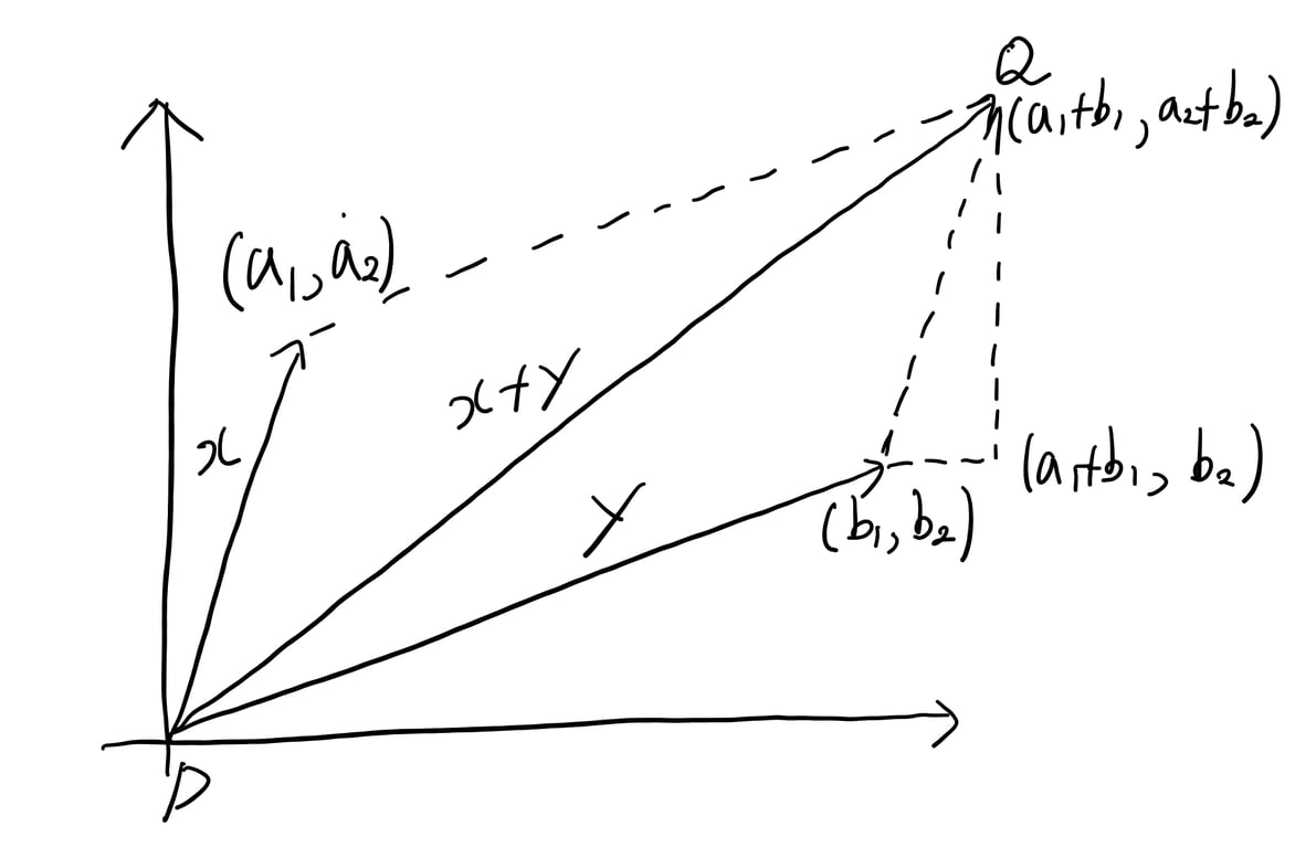
위의 예를 살펴본다면 연어의 속도와 강물의 속도라는 두 가지 물리량이 작용하고 있는 계에서 단순히 물리량의 크기(속력)뿐만 아니라 방향까지 고려해야 한다는 것을 알 수 있다. 두 물리량을 결합하여 나타나는 효과는 합성벡터로 설명할 수 있다. 이 떄 합성벡터를 합이라고 하고, 두 벡터를 결합시키는 규칙을 벡터 합의 평행사변형 법칙이라고 한다.

Theorem

시점이 P로 일치하는 두 벡터 x, y의 합은 점 P에서 시작하는 벡터이고, 이는 x와 y를 이웃한 변으로 하는 평행사변형의 대각선으로 나타난다.

벡터에서는 합 외에도 자연스러운 연산이 하나 더 있다. 벡터의 크기를 확대하거나 축소할 수 있는데, 이를 벡터에 실수를 곱하는 스칼라 곱이라는 연산으로 나타낸다. 벡터 x를 유향선분으로 이해할 때, 0이 아닌 실수 t에 대하여 벡터 tx의 방향은 t > 0일 때 x의 방향과 같고, t < 0일 때 x의 방향과 반대이다. 벡터 tx의 크기는 유향선분 x의 크기에 t의 절대값을 곱한 것이다. 영이 아닌 두 벡터 x, y에 대하여 y = tx인 0이 아닌 실수를 t가 존재할 때, 두 벡터는 평행하다.

spring

벡터 합

spring

스칼라 곱

Properties
1. 모든 벡터 x, y에 대하여 x + y = y + x이다.
2. 모든 벡터 x, y, z에 대하여 (x + y) + z = x + (y + z)이다.
3. 모든 벡터 x에 대하여 x + 0 = x를 만족하는 벡터 0이 존재한다.
4. 각 벡터 x마다 x + y = 0을 만족하는 벡터 y가 존재한다.
5. 모든 벡터 x에 대하여 1x = x이다.
6. 모든 실수 a, b와 모든 벡터 x에 대하여 (ab)x = a(bx)이다.
7. 모든 실수 a와 모든 벡터 x, y에 대하여 a(x + y) = ax + by이다.
8. 모든 실수 a, b와 모든 벡터 x에 대하여 (a + b)x = ax + bx이다.

공간에서 서로 다른 두 점 A, B를 지나는 직선을 생각해보자. 이 공간에 공간 좌표를 부여하고 원점을 O라고 표기하자. 시점이 O이고 종점이 A, B인 두 벡터를 각각 u, v라고 하자. 시점이 A이고 종점이 B인 벡터를 w라고 하면, u + w = v이다. 이항해서 정리하면 w = v - u이다. 이 때 -u는 (-1)u를 의미하고, 이는 u의 방향을 반대로 하고 크기를 |u|만큼 확대한 벡터이다. 이를 u의 역벡터라고 한다.

두 점 A, B를 이은 직선 위 임의의 점은 A를 시점으로 하는 벡터의 종점이고, 적절한 실수 t에 대하여 tw의 형태로 표현할 수 있다. 반대로 A를 시점으로 하는 벡터 tw의 종점은 두 점 A, B를 이은 직선 위에 있다. 따라서, 두 점 A, B를 지나는 직선의 방정식은 다음과 같다.

x = u + tw = u + t(v - u) = (1 - t)u + tv(단, t는 임의의 실수, x는 직선 위의 임의의 점)

spring

스칼라 곱

logo

우원 /

안녕하세요👏
우원입니다.